Упр.10.27 ГДЗ Никольский Потапов 11 класс (Алгебра)
Решение #1

Рассмотрим вариант решения задания из учебника Никольский, Потапов 11 класс, Просвещение:
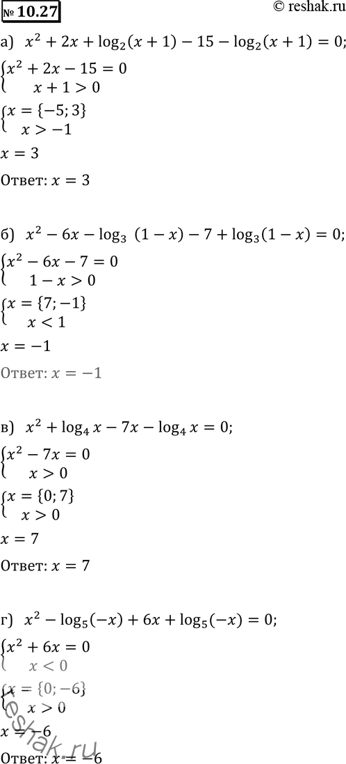
10.27 а) х2 + 2х + log2(x + 1) = 15 + log2(x + 1);
б) х2 - 6х - log3 (1 - х) = 7 - log3 (1 - х);
в) х2 + log4x = 7х + log4x;
г) х2 - log5(-x) = -6х - log5(-x).
*размещая тексты в комментариях ниже, вы автоматически соглашаетесь с пользовательским соглашением