Упр.11.6 ГДЗ Мерзляк 11 класс Углубленный уровень (Алгебра)
Решение #1

Рассмотрим вариант решения задания из учебника Мерзляк, Номировский, Поляков 11 класс, Вентана-Граф, Просвещение:
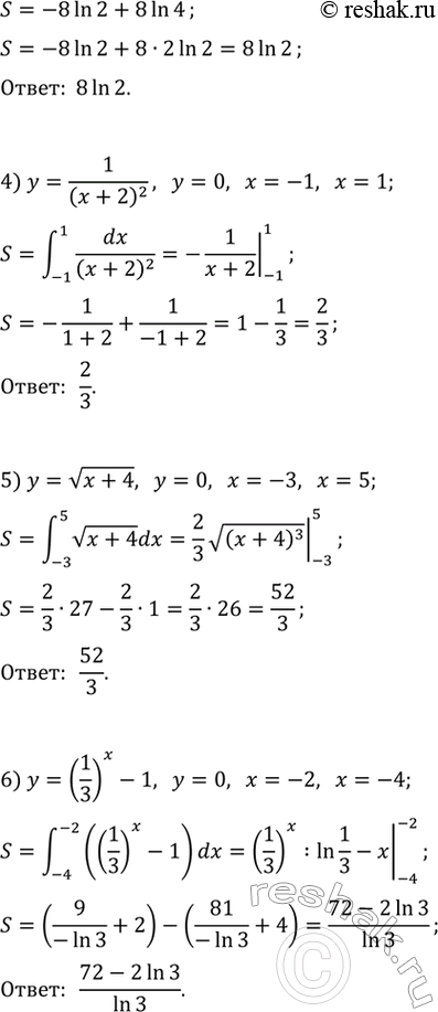
11.6. Найдите площадь криволинейной трапеции, ограниченной линиями:
1) y=x^2-1,y=0, x=2;
2) y=-x^2-4x, y=0, x=-3, x=-1;
3) y=-8/x, y=0, x=-4, x=-2;
4) y=1/(x+2)^2, y=0, x=-1, x=1;
5) y=v(x+4), y=0, x=-3, x=5;
6) y=(1/3)^x-1, y=0, x=-2, x=-4.
*размещая тексты в комментариях ниже, вы автоматически соглашаетесь с пользовательским соглашением