Упр.15.9 ГДЗ Мерзляк 11 класс Углубленный уровень (Алгебра)
Решение #1

Рассмотрим вариант решения задания из учебника Мерзляк, Номировский, Поляков 11 класс, Вентана-Граф, Просвещение:
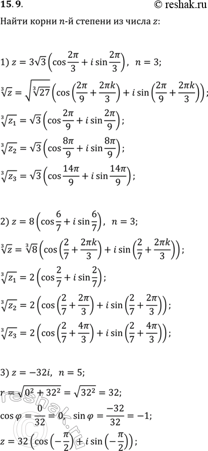
15.9. Найдите корни n-й степени из числа z, если:
1) z=3v3(cos(2п/3)+isin(2п/3)), n=3; 3) z=-32i, n=5;
2) z=8(cos(6/7)+isin(6/7)), n=3; 4) z=v3+i, n=4.
*размещая тексты в комментариях ниже, вы автоматически соглашаетесь с пользовательским соглашением