Упр.159 ГДЗ Никольский Потапов 7 класс (Алгебра)
Решение #1

Рассмотрим вариант решения задания из учебника Никольский, Потапов 7 класс, Просвещение:
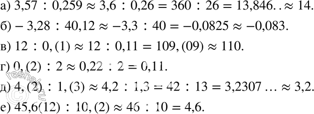
159 Вычислите приближённо частное, округлив данные числа с точностью до второй значащей цифры:
а) 3,57 : 0,259;
б) -3,28 : 40,12;
в) 12 : 0,(1);
г) 0,(2) : 2;
д) 4,(2): 1,(3);
е) 45,6(12): 10,(2).
*размещая тексты в комментариях ниже, вы автоматически соглашаетесь с пользовательским соглашением