Упр.175 ГДЗ Колягин Ткачёва 10 класс (Алгебра)
Решение #1
Решение #2

Рассмотрим вариант решения задания из учебника Колягин, Ткачёва, Фёдорова 10 класс, Просвещение:
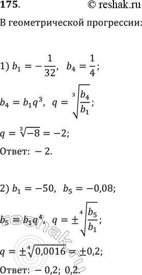
175. Найти знаменатель геометрической прогрессии, если:
1) b1 = -1/32, b4 = 1/4;
2) b1 = -50, b5 = -0,08.
*размещая тексты в комментариях ниже, вы автоматически соглашаетесь с пользовательским соглашением