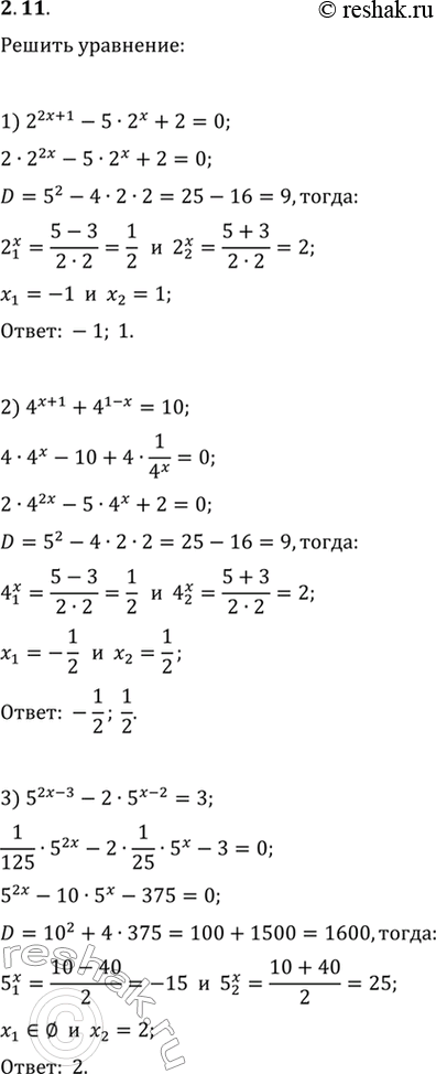
Упр.2.11 ГДЗ Мерзляк 11 класс Углубленный уровень (Алгебра)
Решение #1

Рассмотрим вариант решения задания из учебника Мерзляк, Номировский, Поляков 11 класс, Вентана-Граф, Просвещение:
2.11. Решите уравнение:
1) 2^(2x+1)-5·2^x+2=0; 4) 9^x-6·3^(x-1)=3;
2) 4^(x+1)+4^(1-x)=10; 5) 3^(x+1)+3^(2-x)=28;
3) 5^(2x-3)-2·5^(x-2)=3; 6) 9/(2^x-1)-21/(2^x+1)=2.
*размещая тексты в комментариях ниже, вы автоматически соглашаетесь с пользовательским соглашением