Упр.2.134 ГДЗ Виленкин Жохов 5 класс Часть 1, Просвещение (Математика)

Решение #1

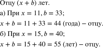
Изображение 2.134. Отец старше сына на b лет. Сколько лет отцу, если сыну x лет? Составьте выражение и найдите его значение при:а) x = 11, b = 33;   б) x = 15, b =...

Рассмотрим вариант решения задания из учебника Виленкин, Жохов, Александрова 5 класс, Просвещение:
2.134. Отец старше сына на b лет. Сколько лет отцу, если сыну x лет? Составьте выражение и найдите его значение при:
а) x = 11, b = 33; б) x = 15, b = 40.
*Цитирирование задания со ссылкой на учебник производится исключительно в учебных целях для лучшего понимания разбора решения задания.
*размещая тексты в комментариях ниже, вы автоматически соглашаетесь с пользовательским соглашением