Упр.2.4 ГДЗ Мерзляк 11 класс Углубленный уровень (Алгебра)
Решение #1

Рассмотрим вариант решения задания из учебника Мерзляк, Номировский, Поляков 11 класс, Вентана-Граф, Просвещение:
2.4. Решите уравнение:
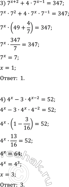
1) 5^(x+1)+5^x=150; 3) 7^(x+2)+4·7^(x-1)=347;
2) 2^x+2^(x-3)=18; 4) 4^x-3·4^(x-2)=52.
*размещая тексты в комментариях ниже, вы автоматически соглашаетесь с пользовательским соглашением