Упр.205 ГДЗ Никольский Потапов 7 класс (Алгебра)
Решение #1

Рассмотрим вариант решения задания из учебника Никольский, Потапов 7 класс, Просвещение:
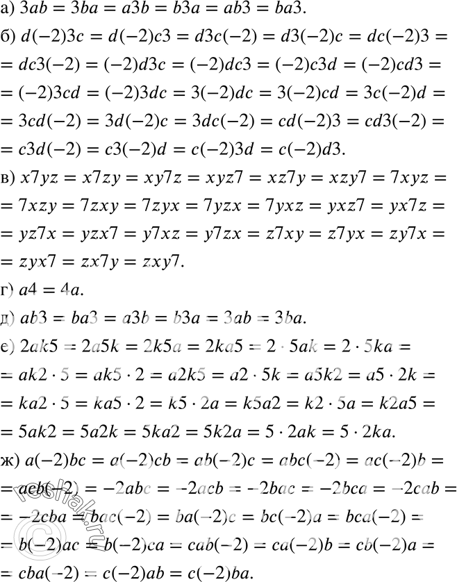
205. Напишите все одночлены, получающиеся изменением порядка множителей одночлена:
а) Заb;
б) d(-2)3c;
в) x7yz;
г) а4;
д) аЬЗ;
е) 2ak5;
ж) а (-2)bс.
*размещая тексты в комментариях ниже, вы автоматически соглашаетесь с пользовательским соглашением