Упр.249 ГДЗ Колягин Ткачёва 10 класс (Алгебра)
Решение #1
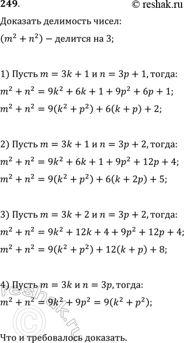
Решение #2

Рассмотрим вариант решения задания из учебника Колягин, Ткачёва, Фёдорова 10 класс, Просвещение:
249. Доказать, что натуральные числа m и n делятся на 3, если число m2 + n2 делится на 3.
*размещая тексты в комментариях ниже, вы автоматически соглашаетесь с пользовательским соглашением