Упр.264 ГДЗ Никольский Потапов 7 класс (Алгебра)
Решение #1

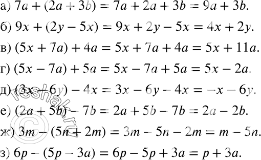
Рассмотрим вариант решения задания из учебника Никольский, Потапов 7 класс, Просвещение:
264 Упростите выражение:
а) 7а + (2а + Зb);
б) 9x+(2y-5x);
в) (5х + 7а) + 4а;
г) (5x-7a)+5a;
д) (Зx - 6у) - 4х;
е) (2a+5b)-7b;
ж) 3m - (5n + 2m);
з) 6p-(5p-3a).
*размещая тексты в комментариях ниже, вы автоматически соглашаетесь с пользовательским соглашением