Упр.266 ГДЗ Никольский Потапов 7 класс (Алгебра)
Решение #1

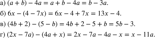
Рассмотрим вариант решения задания из учебника Никольский, Потапов 7 класс, Просвещение:
266. Найдите многочлен, равный разности многочленов:
а) (а + b) и 4а;
б) 6х и (4 - 7х);
в) (4b + 2) и (5 - b);
г) (2х - 7а) и (4а + х).
*размещая тексты в комментариях ниже, вы автоматически соглашаетесь с пользовательским соглашением