Упр.267 ГДЗ Колягин Ткачёва 10 класс (Алгебра)
Решение #1
Решение #2

Рассмотрим вариант решения задания из учебника Колягин, Ткачёва, Фёдорова 10 класс, Просвещение:
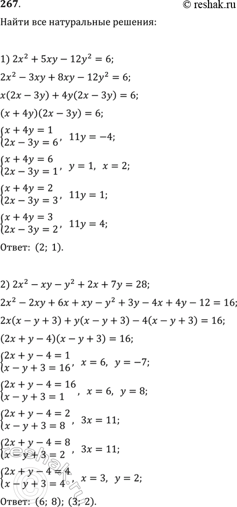
267. 1) Найти все натуральные числа х, у, при которых является верным равенство 2х2 + 5ху - 12у2 = 6.
2) Найти все целые положительные числа х, у, при которых является верным равенство 2х2 - ху - у2 + 2х + 7у = 28.
*размещая тексты в комментариях ниже, вы автоматически соглашаетесь с пользовательским соглашением