Упр.27.19 ГДЗ Мерзляк 11 класс Углубленный уровень (Алгебра)
Решение #1

Рассмотрим вариант решения задания из учебника Мерзляк, Номировский, Поляков 11 класс, Вентана-Граф, Просвещение:
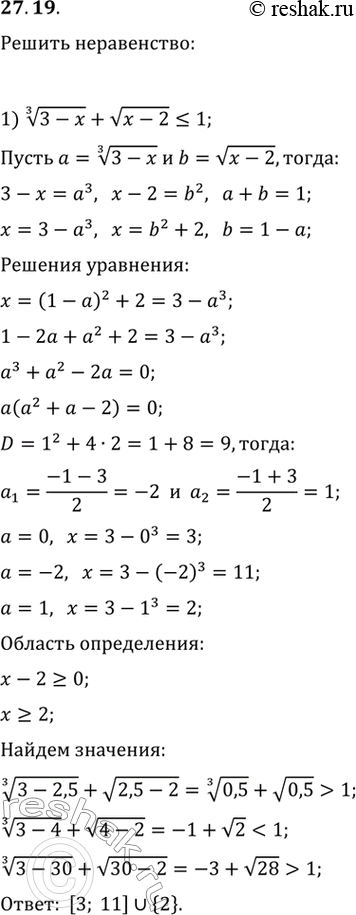
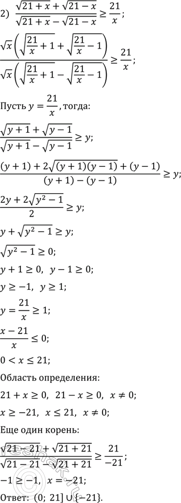
27.19. Решите неравенство:
1) (3-x)^(1/3)+v(x-2)<1; 2) (v(21+x)+v(21-x))/(v(21+x)-v(21-x))>21/x.
*размещая тексты в комментариях ниже, вы автоматически соглашаетесь с пользовательским соглашением