Упр.272 ГДЗ Колягин Ткачёва 10 класс (Алгебра)
Решение #1
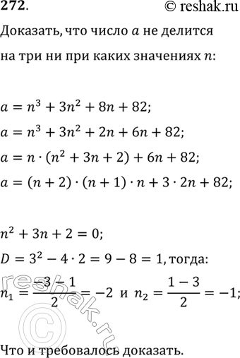
Решение #2

Рассмотрим вариант решения задания из учебника Колягин, Ткачёва, Фёдорова 10 класс, Просвещение:
272. Доказать, что число n3 + 3n2 + 8n + 82 не делится на 3 ни при каком n принадлежит N.
*размещая тексты в комментариях ниже, вы автоматически соглашаетесь с пользовательским соглашением