Упр.276 ГДЗ Колягин Ткачёва 10 класс (Алгебра)
Решение #1
Решение #2

Рассмотрим вариант решения задания из учебника Колягин, Ткачёва, Фёдорова 10 класс, Просвещение:
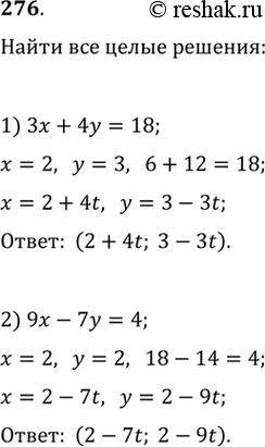
276. Найти целочисленные решения уравнения:
1) 3х + 4у = 18;
2) 9х-7у = 4.
*размещая тексты в комментариях ниже, вы автоматически соглашаетесь с пользовательским соглашением