Упр.295 ГДЗ Никольский Потапов 7 класс (Алгебра)
Решение #1

Рассмотрим вариант решения задания из учебника Никольский, Потапов 7 класс, Просвещение:
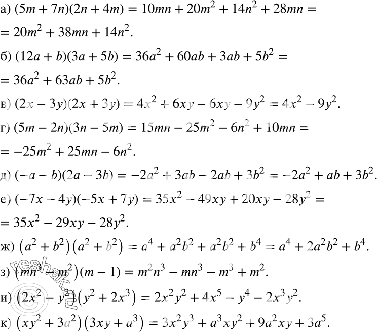
295. а) (5m + 7n)(2n + 4m);
б) (12a+b)(3a+5b);
в) (2х - Зу)(2х + 3у);
г) (5m-2n)(3n-m);
д) (-а - b) (2а - 3b);
е) (-7x-4y)(-5x+7y);
ж) (а2 + b2)(а2 + b2);
з) (mn3-m2)(m-1);
и) (2х2 - у2)(у2 + 2х3);
к) (xy2+3a2(3xy+a3).
*размещая тексты в комментариях ниже, вы автоматически соглашаетесь с пользовательским соглашением