Упр.3.12 ГДЗ Мерзляк 11 класс Углубленный уровень (Алгебра)
Решение #1

Рассмотрим вариант решения задания из учебника Мерзляк, Номировский, Поляков 11 класс, Вентана-Граф, Просвещение:
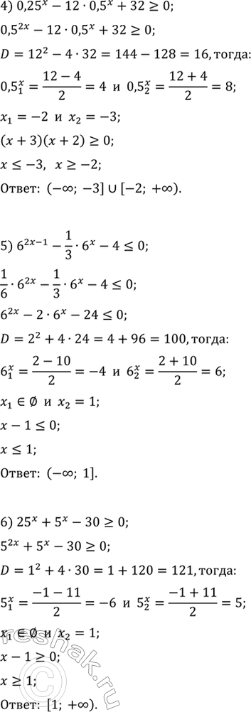
3.12. Решите неравенство:
1) 3^(2x)-4·3^x-45>0; 4) 0,25^x-12·0,5^x+32>0;
2) 4^x+2^(x+3)-20<0; 5) 6^(2x-1)-1/3·6^x-4<0;
3) 49^x-8·7^x+7<0; 6) 25^x+5^x-30>0.
*размещая тексты в комментариях ниже, вы автоматически соглашаетесь с пользовательским соглашением