Упр.3.19 ГДЗ Мерзляк 11 класс Углубленный уровень (Алгебра)
Решение #1

Рассмотрим вариант решения задания из учебника Мерзляк, Номировский, Поляков 11 класс, Вентана-Граф, Просвещение:
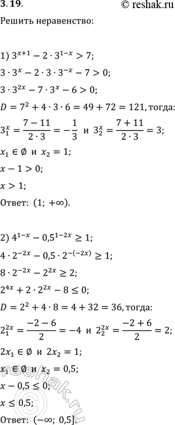
3.19. Найдите множество решений неравенства:
1) 3^(x+1)-2·3^(1-x)>7; 2) 4^(1-x)-0,5^(1-2x)>1.
*размещая тексты в комментариях ниже, вы автоматически соглашаетесь с пользовательским соглашением