Упр.3.3 ГДЗ Мерзляк 11 класс Углубленный уровень (Алгебра)
Решение #1

Рассмотрим вариант решения задания из учебника Мерзляк, Номировский, Поляков 11 класс, Вентана-Граф, Просвещение:
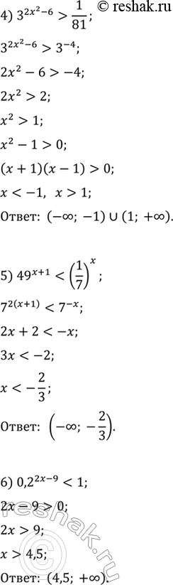
3.3. Решите неравенство:
1) 6^(7x-1)>6; 3) (2/3)^x>(3/2)^4; 5) 49^(x+1)<(1/7)^x;
2) 10^x<0,001; 4) 3^(2x^2-6)>1/81; 6) 0,2^(2x-9)<1.
*размещая тексты в комментариях ниже, вы автоматически соглашаетесь с пользовательским соглашением