Упр.351 ГДЗ Колягин Ткачёва 10 класс (Алгебра)
Решение #1
Решение #2

Рассмотрим вариант решения задания из учебника Колягин, Ткачёва, Фёдорова 10 класс, Просвещение:
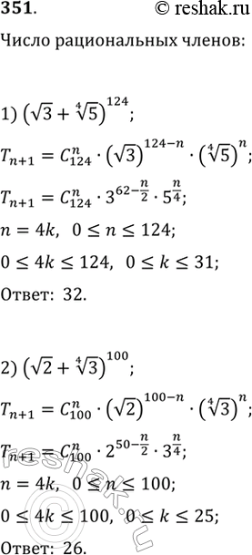
351. Сколько рациональных членов содержит разложение:
1)( корень 3 + корень 4 степени 5)124;
2)(корень 2 + корень 4 степени 3)100?
*размещая тексты в комментариях ниже, вы автоматически соглашаетесь с пользовательским соглашением