Упр.357 ГДЗ Колягин Ткачёва 10 класс (Алгебра)
Решение #1
Решение #2

Рассмотрим вариант решения задания из учебника Колягин, Ткачёва, Фёдорова 10 класс, Просвещение:
Решить систему уравнений (357—362).
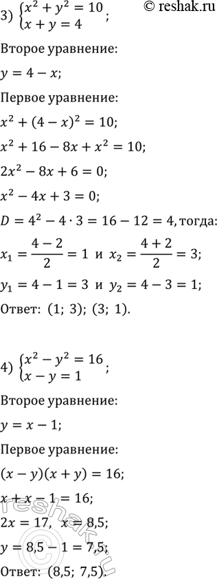
357. 1) система
x2+y2=74,
x+y=12;
2) система
x2-y2=32,
x-y=4;
3) система
x2+y2=10,
x+y=4;
4) система
x2-y2=16,
x-y=1.
*размещая тексты в комментариях ниже, вы автоматически соглашаетесь с пользовательским соглашением