Упр.376 ГДЗ Никольский Потапов 7 класс (Алгебра)
Решение #1

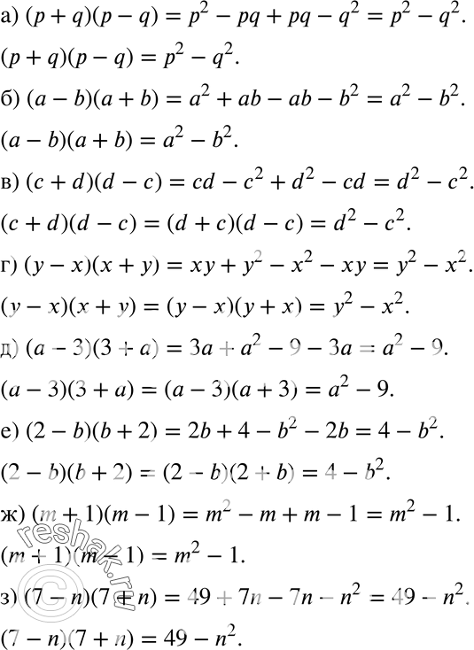
Рассмотрим вариант решения задания из учебника Никольский, Потапов 7 класс, Просвещение:
376. Представьте выражение в виде многочлена двумя способами:
а) (p + q)(p-q);
б) (а-b)(а + b);
в) (с + d)(d - с);
г) (у - х)(х + у);
д) (а - 3)(3 + а);
е) (2 - b) (b + 2);
ж) (m + 1 )(m - 1);
з) (7 - n)(7 + n).
*размещая тексты в комментариях ниже, вы автоматически соглашаетесь с пользовательским соглашением