Упр.378 ГДЗ Колягин Ткачёва 10 класс (Алгебра)
Решение #1
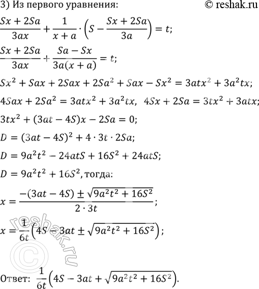
Решение #2

Рассмотрим вариант решения задания из учебника Колягин, Ткачёва, Фёдорова 10 класс, Просвещение:
378. Дорога от пункта А до пункта В идёт на подъём, а от пункта В до пункта С имеет спуск. Пешеход затрачивает t ч на путь от A до С и t/4 ч на обратный путь. Найти скорость пешехода па подъёме, если его скорость на спуске на а км/ч больше, чем на подъёме, а расстояние от А до С равно s км.
*размещая тексты в комментариях ниже, вы автоматически соглашаетесь с пользовательским соглашением