Упр.4.58 ГДЗ Никольский Потапов 11 класс (Алгебра)
Решение #1

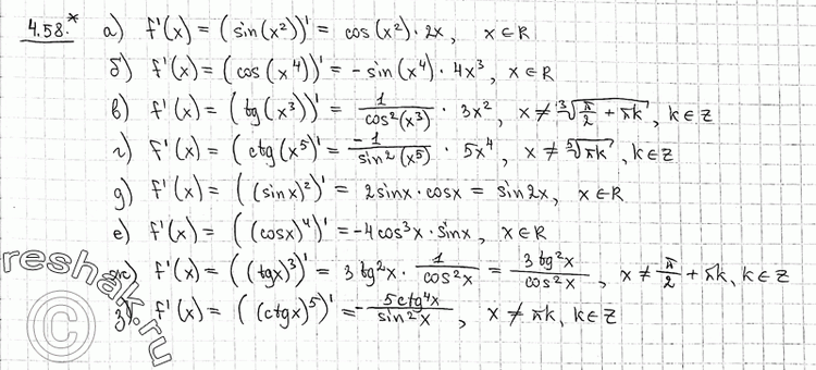
Рассмотрим вариант решения задания из учебника Никольский, Потапов 11 класс, Просвещение:
4.58* а) f(x) = sin (x2);
6) f(x) = cos (x4);
в) f(x) = tg (x3);
г) f(x) = ctg (x5);
д) f(x) = (sin x)2;
e) f(x) = (cos x)4;
ж) f(x) = (tg x)3;
з) f(x) = (ctg x)5.
*размещая тексты в комментариях ниже, вы автоматически соглашаетесь с пользовательским соглашением