Упр.41 ГДЗ Никольский Потапов 7 класс (Алгебра)
Решение #1
Решение #2

Рассмотрим вариант решения задания из учебника Никольский, Потапов 7 класс, Просвещение:
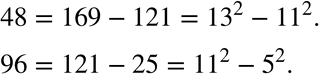
41. Запишите числа 48 и 96 в виде разности квадратов двух простых чисел.
*размещая тексты в комментариях ниже, вы автоматически соглашаетесь с пользовательским соглашением