Упр.457 ГДЗ Колягин Ткачёва 10 класс (Алгебра)
Решение #1
Решение #2

Рассмотрим вариант решения задания из учебника Колягин, Ткачёва, Фёдорова 10 класс, Просвещение:
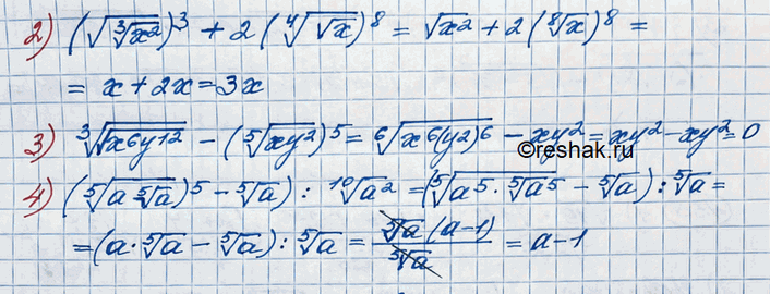
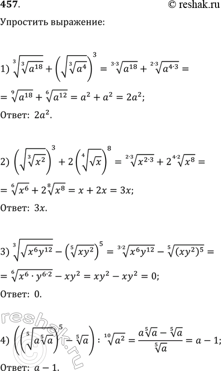
457. 1) корень 3 степени корень 3 степени a18 + (корень корень 3 степени a4)3;
2) (корень корень 3 степени x2)3 + 2(корень 4 степени корень x)8;
3) корень 3 степени корень x6y12 - (корень 5 степени xy2)5;
4) ((корень 5 степени корень a5 корень a)5 - корень 5 степени a) : корень 10 степени a2.
*размещая тексты в комментариях ниже, вы автоматически соглашаетесь с пользовательским соглашением