Упр.460 ГДЗ Колягин Ткачёва 10 класс (Алгебра)
Решение #1
Решение #2

Рассмотрим вариант решения задания из учебника Колягин, Ткачёва, Фёдорова 10 класс, Просвещение:
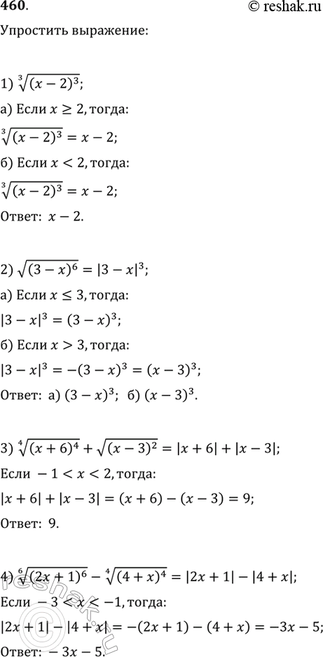
460. Упростить:
1) корень 3 степени (х - 2)3 при: а) х >= 2; б) х < 2;
2) корень (3 - x)6 при: а) х <= 3; б) х > 3;
3) корень 4 степени (x+6)4 + корень (x-3)2, если -1 < х < 2;
4) корень 6 степени (2х + 1)6 - корень 4 степени (4 + х)4, если -3 < х < -1.
*размещая тексты в комментариях ниже, вы автоматически соглашаетесь с пользовательским соглашением