Упр.462 ГДЗ Никольский Потапов 7 класс (Алгебра)
Решение #1

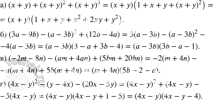
Рассмотрим вариант решения задания из учебника Никольский, Потапов 7 класс, Просвещение:
Разложите на множители (462—465):
462. а) (х + у) + (х + у)2 + (х + у)3;
б) (За - 9b) - (а - 3b)2 + (12b - 4а);
в) (-2m - 8n) - (am + 4аn) + (5bm + 20bn);
г) (4х - у)2 - (у - 4х) - (20х - by).
*размещая тексты в комментариях ниже, вы автоматически соглашаетесь с пользовательским соглашением