Упр.481 ГДЗ Колягин Ткачёва 10 класс (Алгебра)
Решение #1
Решение #2

Рассмотрим вариант решения задания из учебника Колягин, Ткачёва, Фёдорова 10 класс, Просвещение:
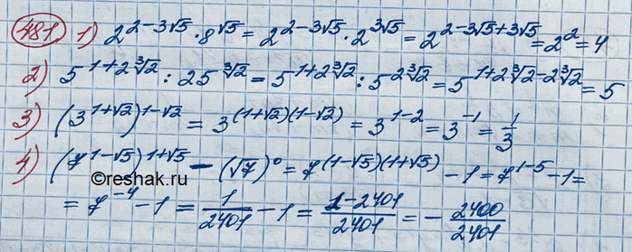
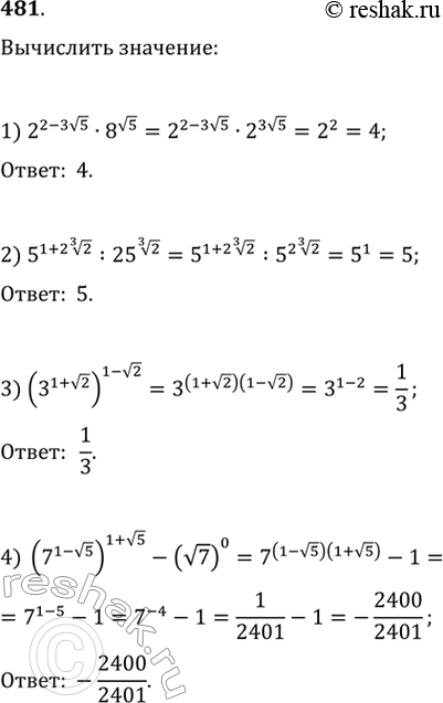
481. 1) 2^(2-3 корень 5) * 8^ корень 5;
2) 5^(1+2 корень 3 степени 2) : 25^ корень 3 степени 2;
3) (3^(1+ корень 2)1- корень 2;
4) (7^(1- корень 5)1+ корень 5 - (корень 7)0.
*размещая тексты в комментариях ниже, вы автоматически соглашаетесь с пользовательским соглашением