Упр.491 ГДЗ Колягин Ткачёва 10 класс (Алгебра)
Решение #1
Решение #2

Рассмотрим вариант решения задания из учебника Колягин, Ткачёва, Фёдорова 10 класс, Просвещение:
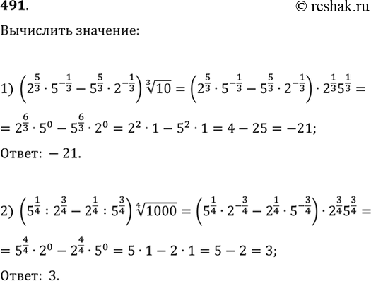
491. Вычислить:
1) (2^5/3 * 5^-1/3 - 5^5/3 * 2^-1/3) корень 3 степени 10;
2) (5^1/4 : 2^3/4 - 2^1/4 : 5^3/4) корень 4 степени 1000.
*размещая тексты в комментариях ниже, вы автоматически соглашаетесь с пользовательским соглашением