Упр.5.42 ГДЗ Никольский Потапов 11 класс (Алгебра)
Решение #1

Рассмотрим вариант решения задания из учебника Никольский, Потапов 11 класс, Просвещение:
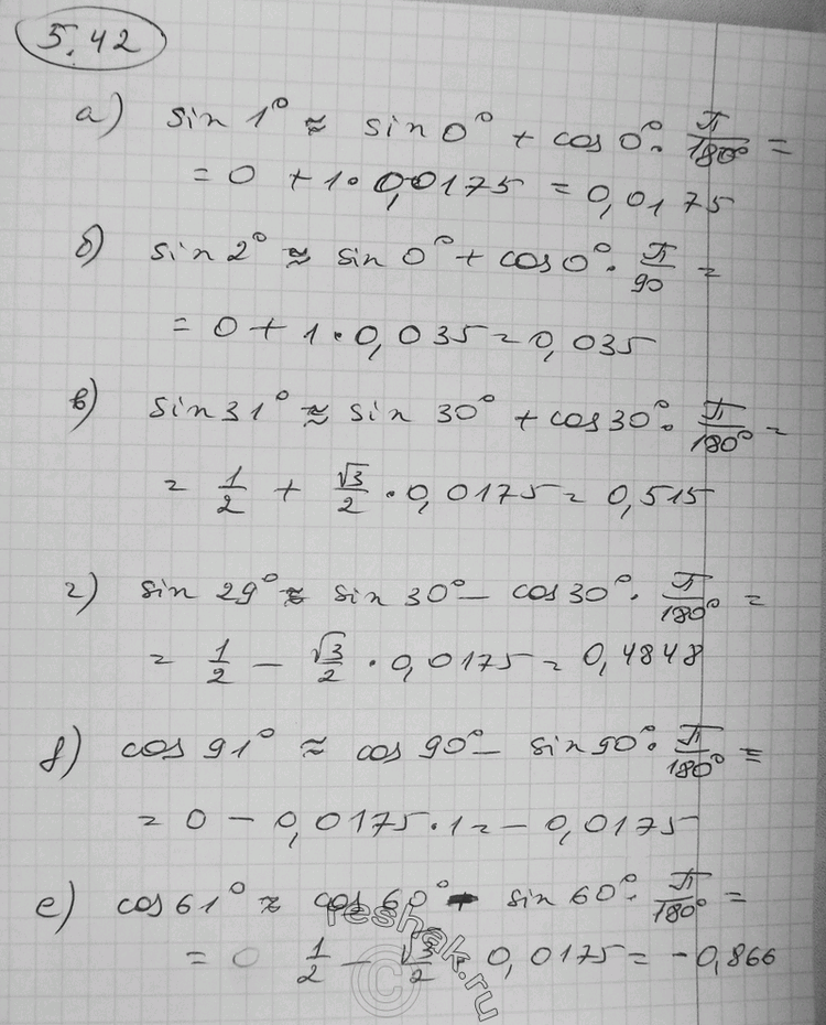
5.42* Вычислите приближенно:
a) sin 1°;
б) sin 2°;
в) sin 31°;
г) sin 29°;
д) cos 91°;
е) cos 61°;
ж) cos 59°;
з) cos 89°.
*размещая тексты в комментариях ниже, вы автоматически соглашаетесь с пользовательским соглашением