Упр.556 ГДЗ Никольский Потапов 7 класс (Алгебра)
Решение #1

Рассмотрим вариант решения задания из учебника Никольский, Потапов 7 класс, Просвещение:
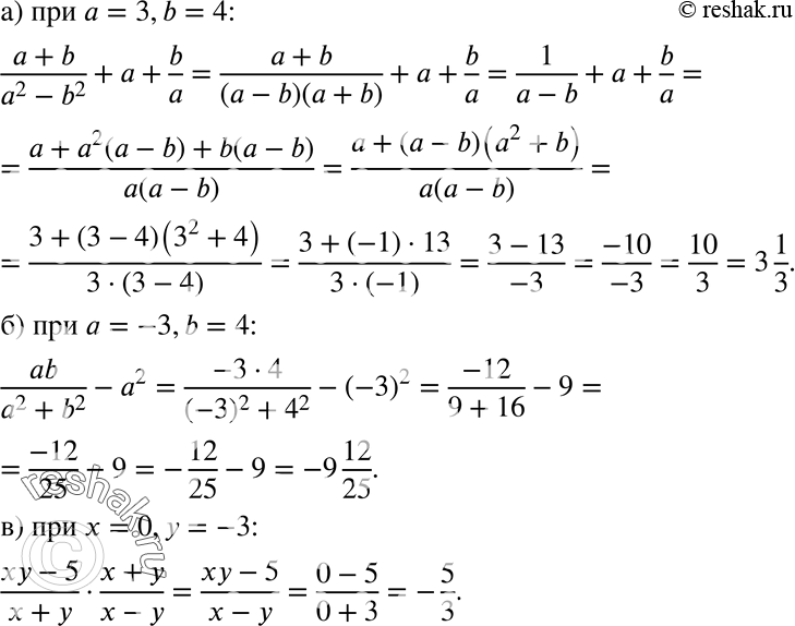
556. Вычислите значение выражения:
а) (a+b)/(a2-b2) + a+b/a при a=3,b=4;
б) ab/(a2+b2)-a2 при a=-3,b=4;
в) (xy-5)/(x+y) * (x+y)/(x-y) при x=0,y=-3.
*размещая тексты в комментариях ниже, вы автоматически соглашаетесь с пользовательским соглашением