Упр.558 ГДЗ Никольский Потапов 7 класс (Алгебра)
Решение #1

Рассмотрим вариант решения задания из учебника Никольский, Потапов 7 класс, Просвещение:
Исследуем (558—559).
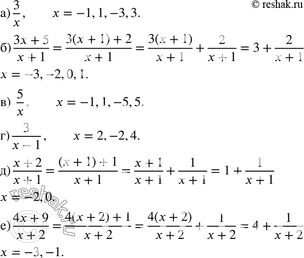
558. При каких целых значениях х значение дроби:
а) 3/x;
б) (3x+5)/(x+1);
в) 5/x;
г) 3/(x-1);
д) (x+2)/(x+1);
е) (4x+9)/(x+2)
является целым числом?
*размещая тексты в комментариях ниже, вы автоматически соглашаетесь с пользовательским соглашением