Упр.594 ГДЗ Никольский Потапов 7 класс (Алгебра)
Решение #1
Решение #2

Рассмотрим вариант решения задания из учебника Никольский, Потапов 7 класс, Просвещение:
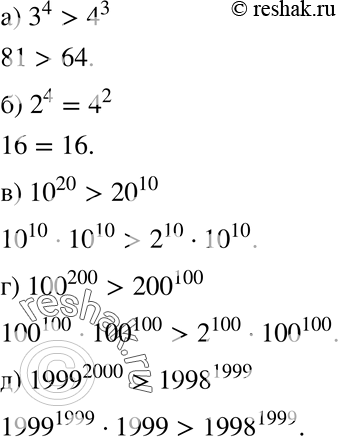
594. Сравните:
а) 3^4 и 4^3;
б) 2^4 и 4^2;
в) 10^20 и 20^10;
г) 100^200 и 200^100;
д) 1999^20000 и 1998^1999.
*размещая тексты в комментариях ниже, вы автоматически соглашаетесь с пользовательским соглашением