Упр.6.21 ГДЗ Никольский Потапов 11 класс (Алгебра)
Решение #1
Решение #2

Рассмотрим вариант решения задания из учебника Никольский, Потапов 11 класс, Просвещение:
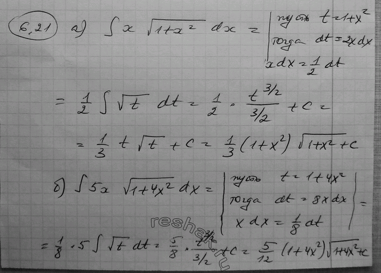
6.21 а) интеграл x корень (1+x2)dx;
б) интеграл 5x корень (1+4x2)dx;
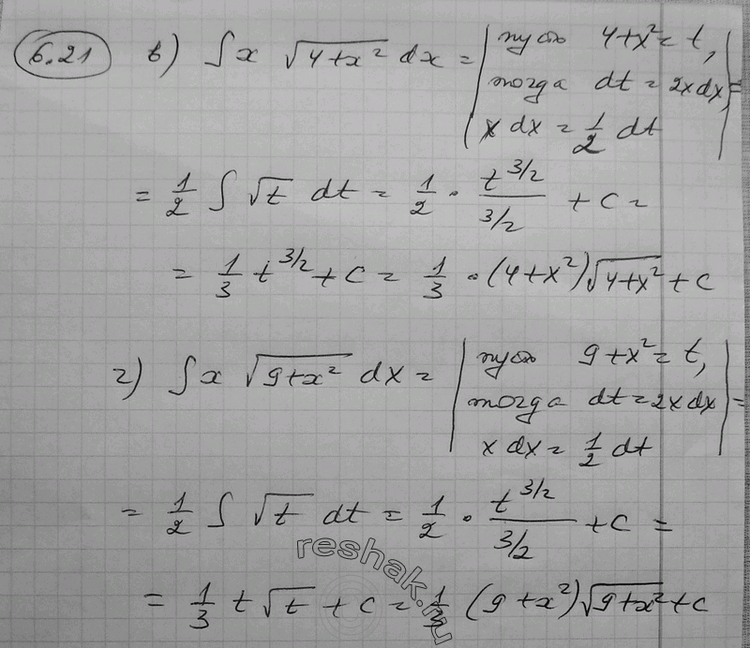
в) интеграл x корень 41+x2)dx;
г) интеграл x корень (9+x2)dx.
*размещая тексты в комментариях ниже, вы автоматически соглашаетесь с пользовательским соглашением