Упр.6.36 ГДЗ Мерзляк 11 класс Углубленный уровень (Алгебра)
Решение #1

Рассмотрим вариант решения задания из учебника Мерзляк, Номировский, Поляков 11 класс, Вентана-Граф, Просвещение:
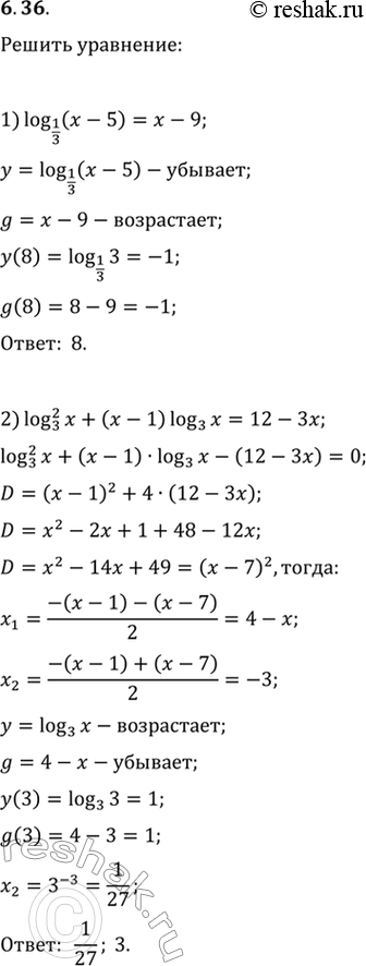
6.36. Решите уравнение:
1) log_(1/3) (x-5)=x-9; 2) (log_3 x)^2+(x-1)log_3 x=12-3x.
*размещая тексты в комментариях ниже, вы автоматически соглашаетесь с пользовательским соглашением