Упр.607 ГДЗ Никольский Потапов 7 класс (Алгебра)
Решение #1

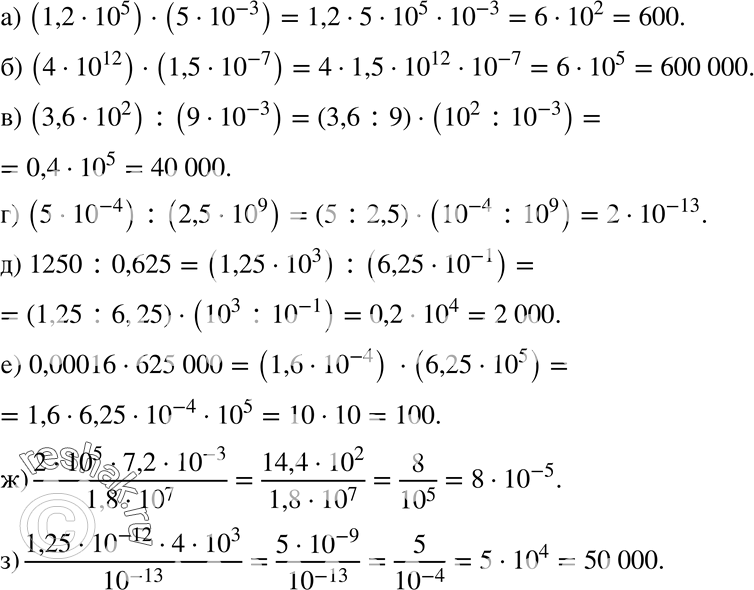
Рассмотрим вариант решения задания из учебника Никольский, Потапов 7 класс, Просвещение:
607 Вычислите:
а) (1,2*10^5)*(5*10^-3);
б) (4*10^12)*(1,5*10^-7);
в) (3,6*10^2):(9*10^-3);
г) (5*10^-4):(2,5*10^9);
д) 1250:0,625;
е) 0,00016*625 000;
ж) (2*10^5*7,2*10^-3)/(1,8*10^7);
з) (1,25*10^-12*4*10^3)/10^-13.
*размещая тексты в комментариях ниже, вы автоматически соглашаетесь с пользовательским соглашением