Упр.641 ГДЗ Никольский Потапов 7 класс (Алгебра)
Решение #1

Рассмотрим вариант решения задания из учебника Никольский, Потапов 7 класс, Просвещение:
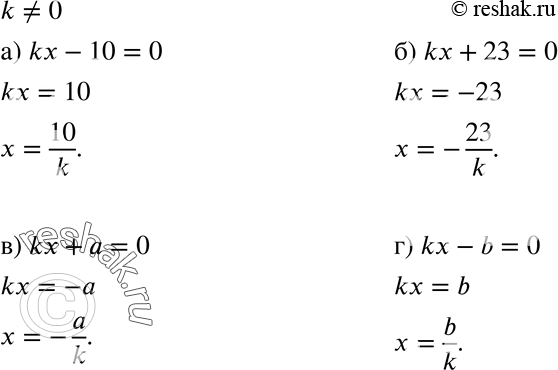
641. Число k =/ 0. Решите уравнение:
a) kx - 10 = 0; б) kx + 23 = 0; в) kx + а = 0; г) kx - b = 0.
*размещая тексты в комментариях ниже, вы автоматически соглашаетесь с пользовательским соглашением