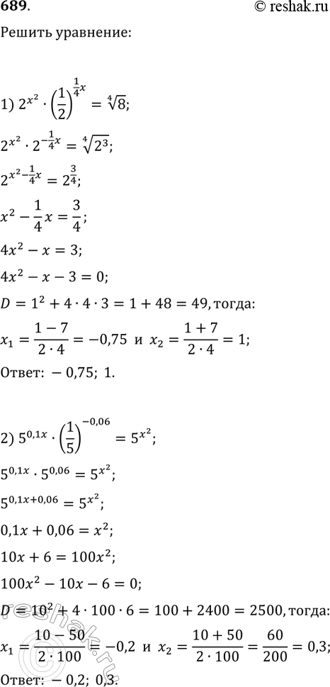
Упр.689 ГДЗ Колягин Ткачёва 10 класс (Алгебра)
Решение #1
Решение #2

Рассмотрим вариант решения задания из учебника Колягин, Ткачёва, Фёдорова 10 класс, Просвещение:
689.
1) 2^(2x^2)*(1/2)^1/4x=10^x=корень четвертой степени из 8
2) 5^0,1x*(1/5)^-0,06=5^(x^2)
3) (1/2)^(v(1-x))*(1/2)^-1=(1/2)^2x
4) 0,7^(v(x+12))*0,7^-2=0,7^vx
*размещая тексты в комментариях ниже, вы автоматически соглашаетесь с пользовательским соглашением