Упр.703 ГДЗ Колягин Ткачёва 10 класс (Алгебра)
Решение #1
Решение #2

Рассмотрим вариант решения задания из учебника Колягин, Ткачёва, Фёдорова 10 класс, Просвещение:
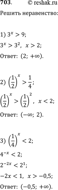
703.
1) 3^x>9
2) (1/2)^x>1/4
3) (1/4)^x<2
4) 4^x<1/2
5) 2^3x>=1/2
6) (1/3)^(x-1)<=1/9
*размещая тексты в комментариях ниже, вы автоматически соглашаетесь с пользовательским соглашением