Упр.703 ГДЗ Ткачёва 6 класс (Математика)
Решение #1

Рассмотрим вариант решения задания из учебника Ткачёва 6 класс, Просвещение:
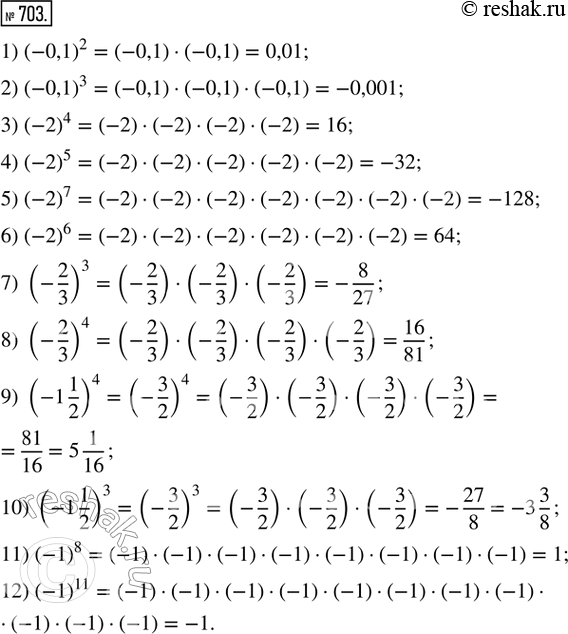
703. Найти значение степени:
1) (-0,1)^2; 2) (-0,1)^3; 3) (-2)^4; 4) (-2)^5; 5) (-2)^7; 6) (-2)^6;
7) (-2/3)^3; 8) (-2/3)^4; 9) (-1 1/2)^4; 10) (-1 1/2)^3; 11) (-1)^8; 12) (-1)^11.
*размещая тексты в комментариях ниже, вы автоматически соглашаетесь с пользовательским соглашением