Упр.704 ГДЗ Никольский Потапов 7 класс (Алгебра)
Решение #1

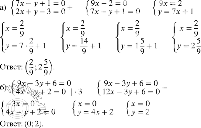
Рассмотрим вариант решения задания из учебника Никольский, Потапов 7 класс, Просвещение:
704 Решите систему уравнений:
а) система
7x-y+1=0,
2x+y-3=0;
б) система
9x-3y+6=0,
4x-y+2=0.
*размещая тексты в комментариях ниже, вы автоматически соглашаетесь с пользовательским соглашением