Упр.742 ГДЗ Колягин Ткачёва 10 класс (Алгебра)
Решение #1
Решение #2

Рассмотрим вариант решения задания из учебника Колягин, Ткачёва, Фёдорова 10 класс, Просвещение:
742. Решить неравенство:
1) 8,4^((x-3)/(x^2+1))<1
2) 2^(x^2)*5^(x^2)<10^-3(10^(3-x))^2
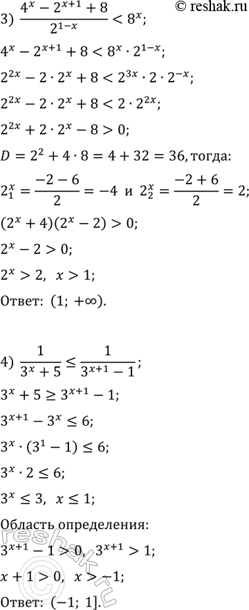
3) (4^x-2^(x+1)+8)/(2^(1-x))<8^x
4) 1/(3^x+5)<=1/(3^(x+1)-1)
*размещая тексты в комментариях ниже, вы автоматически соглашаетесь с пользовательским соглашением