Упр.796 ГДЗ Ткачёва 6 класс (Математика)
Решение #1

Рассмотрим вариант решения задания из учебника Ткачёва 6 класс, Просвещение:
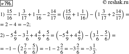
796. Вычислить наиболее удобным способом:
1) 15/16 - 1 3/17 + 1 1/16 - 2 14/17;
2) -5 4/9 - 3 1/6 + 4 4/9 + 5/6.
*размещая тексты в комментариях ниже, вы автоматически соглашаетесь с пользовательским соглашением