Упр.8.13 ГДЗ Мерзляк 11 класс Углубленный уровень (Алгебра)
Решение #1

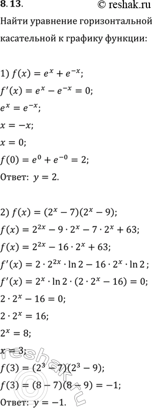
Рассмотрим вариант решения задания из учебника Мерзляк, Номировский, Поляков 11 класс, Вентана-Граф, Просвещение:
8.13. Найдите уравнение горизонтальной касательной к графику функции:
1) f(x)=e^x+e^(-x); 2) f(x)=(2^x-7)(2^x-9).
*размещая тексты в комментариях ниже, вы автоматически соглашаетесь с пользовательским соглашением