Упр.823 ГДЗ Никольский Потапов 7 класс (Алгебра)
Решение #1
Решение #2

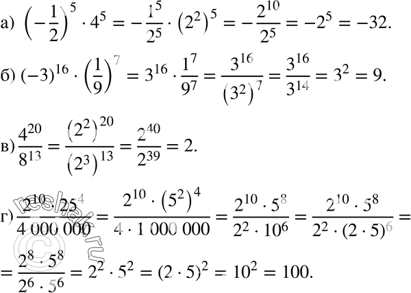
Рассмотрим вариант решения задания из учебника Никольский, Потапов 7 класс, Просвещение:
823 а) (-1/2)5 * 4^5;
б) (-3)16 * (1/9)7;
в) 4^20/8^13;
г) (2^10 * 25^4)/4 000 000.
*размещая тексты в комментариях ниже, вы автоматически соглашаетесь с пользовательским соглашением