Упр.828 ГДЗ Колягин Ткачёва 10 класс (Алгебра)
Решение #1
Решение #2

Рассмотрим вариант решения задания из учебника Колягин, Ткачёва, Фёдорова 10 класс, Просвещение:
Решить неравенство (828—829).
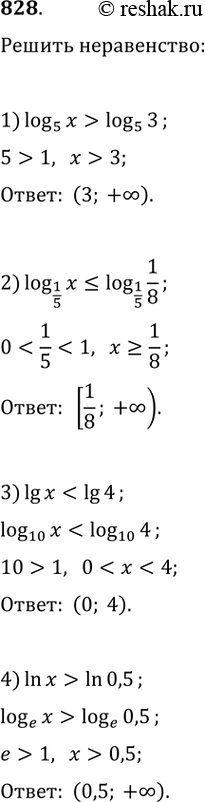
828.
1) логарифм х по основанию 5 > логарифм 3 по основанию 5
2) логарифм х по основанию 1/5 <= логарифм 1/8 по основанию 1/5
3) десятичный логарифм х < десятичный логарифм 4
4) натуральный логарифм х > натуральный логарифм 0,5
*размещая тексты в комментариях ниже, вы автоматически соглашаетесь с пользовательским соглашением