Упр.835 ГДЗ Никольский Потапов 7 класс (Алгебра)
Решение #1

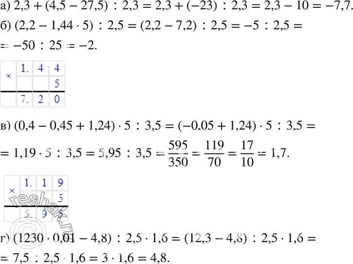
Рассмотрим вариант решения задания из учебника Никольский, Потапов 7 класс, Просвещение:
835. а) 2,3 + (4,5 - 27,5) : 2,3;
б) (2,2 - 1,44 * 5) : 2,5;
в) (0,4-0,45+ 1,24) * 5 : 3,5;
г) (1230 * 0,01-4,8): 2,5 * 1,6.
*размещая тексты в комментариях ниже, вы автоматически соглашаетесь с пользовательским соглашением