Упр.842 ГДЗ Колягин Ткачёва 10 класс (Алгебра)
Решение #1
Решение #2

Рассмотрим вариант решения задания из учебника Колягин, Ткачёва, Фёдорова 10 класс, Просвещение:
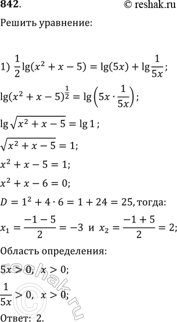
842.
1) 1/2*десятичный логарифм (х^2+x-5)=десятичный логарифм(5x)+десятичный логарифм(1/5x)
2) 1/2*десятичный логарифм (х^2-4x-1)=десятичный логарифм(8x)+десятичный логарифм(4x)
*размещая тексты в комментариях ниже, вы автоматически соглашаетесь с пользовательским соглашением